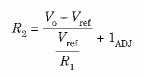
Found in a Linear Technology documentation from the 1990s, this circuit has the voltage adjusted by resistors R1 and R2 according to the formula given in the diagram.
This analog thermometer was obtained from an English documentation. The sensor is a common diode...
Found in Popular Electronics from the 90s, this 1.5 A power supply can supply voltages selected by a...
This circuit was found in Radio Electronics magazine from February 1962. The sensor is an LDR, and the...